Análisis de Datos Estadisticos Básicos con Excel





Excel es un programa informático desarrollado por la empresa Microsoft y forma parte de la suite ofimática desarrollada principalmente para el entorno de Windows. Excel es una hoja de cálculo que permite trabajar con datos numéricos, con los cuales se pueden realizar cálculos aritméticos básicos o aplicar funciones matemáticas de mayor complejidad estadística. Para este caso en particular se describirán algunas de las herramientas con las que cuenta Excel para llevar a cabo un análisis estadístico.


Estadística Descriptiva


Definición Calcula la desviación estándar de una muestra. La desviación estándar es la medida de la dispersión de los valores respecto a la media. La función utilizada por Excel para calcular la desviación típica es:

Sintaxis=DESVESTA (Valor1, Valor2,…, ValorN)

Ejemplo
=DESVESTA (A1:B5)
Devuelve 27.46391572 como desviación típica del rango.

Definición Calcula las estadísticas de una línea con el método de los mínimos cuadrados para calcular la línea recta que mejor se ajuste a los datos y devuelve una matriz que describe la línea. La función utiliza los siguientes argumentos: conocido_y es obligatorio y representa el conjunto de valores que se conocen en la relación y=mx+b; conocido_x es un parámetro opcional y describe un conjunto de valores que pueden conocerse en la relación y=mx+b; contante es un parámetro opcional representa un valor lógico que especifica si se fuerza la constante b para que sea igual a 0; estadística es opcional, es un valor lógico que especifica si se deben devolver estadísticas de regresión adicionales a los coeficientes m y la constante b.

Sintaxis=ESTIMACION.LINEAL (conocido_y, [conocido_x], constante, estadística)

Ejemplo

Se calcula la estimación de las ventas en el noveno mes, basándose en las ventas de los meses 1 al 6.

=SUMA (ESTIMACION.LINEAL (B2:B7, A2:A7)*{9.1})
Devuelve, que para el mes noveno se estima que las ventas serán de 11000.

Definición Devuelve el cuartil de un conjunto de datos. Los cuartiles se usan con frecuencia en los datos de ventas y encuestas para dividir las poblaciones en grupos. La función tiene los siguientes argumentos: matriz, es el conjunto de datos o valores numéricos del cual se desea obtener el cuartil; cuartil indica el valor que se devolverá, si cuartil es 0 devuelve el valor mínimo, si es 1 devuelve el percentil 25 o primer cuartil, si es 2 devuelve el percentil 50 o el valor de la mediana, si es 3 devuelve el percentil 75 o tercer cuartil y si es 4 devuelve el valor máximo.

Sintaxis=CUARTIL (matriz, cuartil)

Ejemplo
=CUARTIL (A1:C4, 1)
Devuelve, 3.5 como resultado como el percentil 25 o el 25% de los datos de la población estudiada.

Estadística bidimensional


Definición Devuelve, la varianza de la muestra, o promedio de los productos de las desviaciones para cada pareja de puntos de datos en dos conjuntos de datos.

Sintaxis=COVARIANZA (matriz1, matriz2)

Ejemplo
=COVARIANZA (A2:B4)
Devuelve, como resultado que la covarianza de muestra para los datos de datos especificados es 9.66

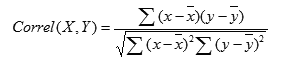
Definición Devuelve, el coeficiente de correlación de dos rangos de celdas. Se usa principalmente para determinar la relación entre dos propiedades. Por ejemplo, para examinar la relación entre una la temperatura de una localidad y el uso de aire acondicionado. La ecuación para el coeficiente de correlación es:

Sintaxis=COEF.DE.CORREL (matriz1, matriz2)

Ejemplo
=COEF.DE.CORREL (A2:A6, B2:B6)
Devuelve, que la relación lineal entre la matriz1 y la matriz2 es de 0.99

Distribuciones


Definición Devuelve, la distribución normal para la media y desviación estándar especificadas. Esta función tiene un gran número de aplicaciones en estadística, la más conocida es para las pruebas de hipótesis. La función tiene los siguientes argumentos: X, es el valor cuya distribución se desea obtener; Media, es la media aritmética de la distribución; desv_estandar, es la desviación estándar de la distribución y Acum el cual es un valor lógico que determina la forma de la función. Si el argumento es verdadero devuelve la función de la distribución acumulativa y si es falso devuelve la función de masa de probabilidad. Todos los argumentos de la función son obligatorios para su buena ejecución.

Sintaxis=DISTR.NORM (X, media, desv_estandar, acum)

Ejemplo
=DISTR.NORM (A2, A3, A4, VERDADERO)
Devuelve como resultado 0.908 en función de distribución acumulativa.
=DISTR.NORM (A2, A3, A4, FALSO)
Devuelve como resultado 0.109 en función de masa de probabilidad.

Definición Devuelve la función de distribución normal estándar es decir, que tiene una media de 0 y una desviación estándar de 1. Se usa generalmente esta función en lugar de una tabla estándar de áreas de curvas normales. Tiene como argumentos: Z el cual es el valor cuya distribución se desea obtener y acumulado el cual es un valor lógico que determina la forma de la función si es verdadero devuelve la función de distribución acumulativa y si es falso devuelve la función de masa de probabilidad. La ecuación para la función de densidad normal estándar es la siguiente:

Sintaxis=DISTR.NORM.ESTAND (Z, acumulado)

Ejemplo
=DISTR.NORM.ESTAND (1.333, VERDADERO)
Devuelve, 0.908 como resultado de la función de distribución acumulativa normal de 1.333
=DISTR.NORM.ESTAND (1.333, FALSO)
Devuelve, 0.164 como resultado de la función de distribución de probabilidad normal de 1.333

Definición Devuelve la probabilidad de una variable aleatoria discreta siguiendo una distribución binomial. Se usa principalmente en problemas con un número fijo de pruebas o ensayos, cuando los resultados de un ensayo son solo éxito o fracaso, cuando los ensayos son independientes y cuando la probabilidad de éxito es constante durante todo el experimento. Por ejemplo para calcular la probabilidad de que dos de los próximos tres bebes que nazcan en un hospital sean hombres. La función cuenta con los siguientes argumentos: num_exito el cual es el número de éxitos en los ensayos; ensayos es el número de ensayos independientes, prob_exito es la probabilidad de éxito en cada ensayo y acumulado el cual es un valor lógico que si es verdadero devuelve la función de distribución acumulativa, es decir, que es la probabilidad de que exista el máximo número de éxitos y si falso devuelve la función de masa de probabilidad, que indica que es la probabilidad de que un evento se reproduzca un número de veces igual al argumento num_exito.

Sintaxis=DISTR.BINOM.N (num_exito, ensayos, prob_exito, acumulado)

Ejemplo
=DISTR.BINOM.N (A2, A3, A4, FALSO)
Devuelve como resultado 0.205 como probabilidad de exactamente 6 de 10 ensayos correctos.